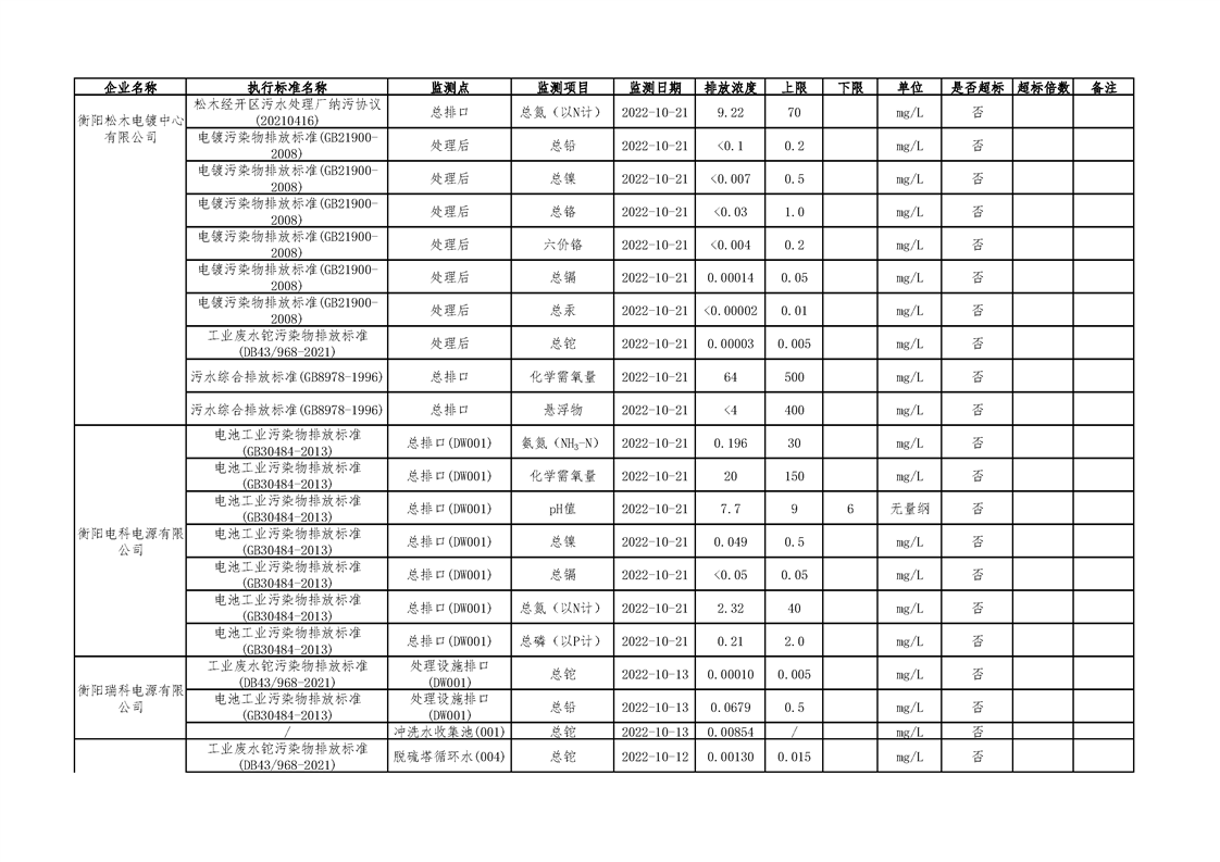
2022年10月衡阳市城区重点排污单位废水执法监测数据公示表

来源:生态环境监测科   发布时间:2022-12-15 10:06

相关文章
友情链接

主办:米兰体育棋牌APP官网   地址:米兰体育在线登陆官网入口 承办:米兰足球赛事官网网址

联系电话:2892828  邮编:421001  网站标识码:4304000017 网站地图

网站备案号:湘ICP备2021001367号-1湘公网安备 43040802000074号

Baidu
map